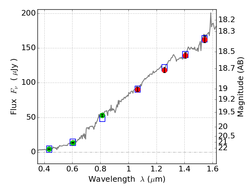
PLCKG209+10 ACS+IR detection object #2252

Color images and BPZ results
Catalog: 2252.cat
Black segments are analyzed here.   Roll mouse over color images to view segments.
Best viewed in a wide browser window (1200 pixels or more).   Download SED & P(z) plots to view larger versions.
In P(z) plots: Yellow lines mark the cluster redshift z = 0.677,  

Object #2252   x,y = (1539, 2657)   RA, Dec = (07:22:27.072, 07:24:41.40) = (110.61280, 7.41150)   BPZ = 0.753 [0.710--0.799]   type = 5.70 (Sbc_B10 - ES0_B10)   stellarity = 0.03   chisq2 = 0.06   ODDS = 1.00   z_cluster = 0.677