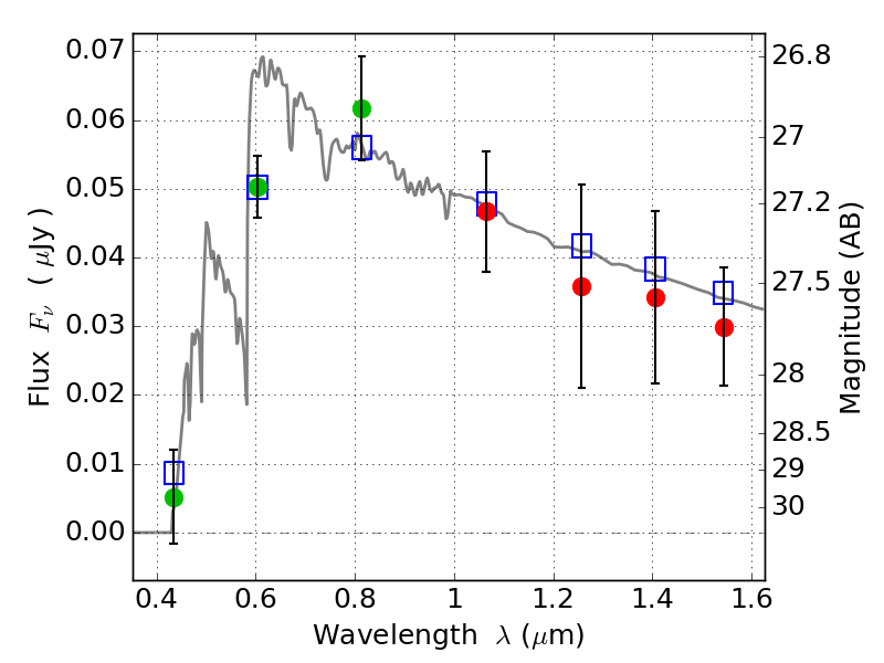
PLCKG209+10 IR detection object #654

Color images and BPZ results
Catalog: 654.cat
Black segments are analyzed here.   Roll mouse over color images to view segments.
Best viewed in a wide browser window (1200 pixels or more).   Download SED & P(z) plots to view larger versions.
In P(z) plots: Yellow lines mark the cluster redshift z = 0.677,  

Object #654   x,y = (3540, 2483)   RA, Dec = (07:22:19.008, 07:24:30.96) = (110.57920, 7.40860)   BPZ = 3.788 [3.531--4.048]   type = 11.00 (SB11_A_0_l)   stellarity = 0.69   chisq2 = 0.30   ODDS = 0.85   z_cluster = 0.677