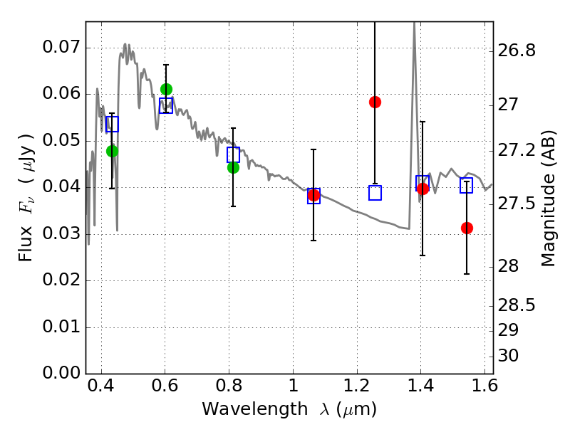
PLCKG209+10 IR detection object #649

Color images and BPZ results
Catalog: 649.cat
Black segments are analyzed here.   Roll mouse over color images to view segments.
Best viewed in a wide browser window (1200 pixels or more).   Download SED & P(z) plots to view larger versions.
In P(z) plots: Yellow lines mark the cluster redshift z = 0.677,  

Object #649   x,y = (3158, 2490)   RA, Dec = (07:22:20.544, 07:24:31.32) = (110.58560, 7.40870)   BPZ = 2.708 [0.043--3.226]   type = 11.00 (SB11_A_0_l)   stellarity = 0.70   chisq2 = 0.69   ODDS = 0.29   z_cluster = 0.677