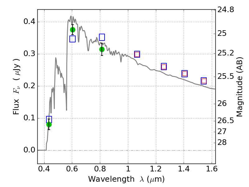
PLCKG209+10 IR detection object #35

Color images and BPZ results
Catalog: 35.cat
Black segments are analyzed here.   Roll mouse over color images to view segments.
Best viewed in a wide browser window (1200 pixels or more).   Download SED & P(z) plots to view larger versions.
In P(z) plots: Yellow lines mark the cluster redshift z = 0.677,  

Object #35   x,y = (2412, 3922)   RA, Dec = (07:22:23.568, 07:25:57.36) = (110.59820, 7.43260)   BPZ = 3.622 [3.528--3.719]   type = 11.00 (SB11_A_0_l)   stellarity = 1.00   chisq2 = 2.97   ODDS = 1.00   z_cluster = 0.677