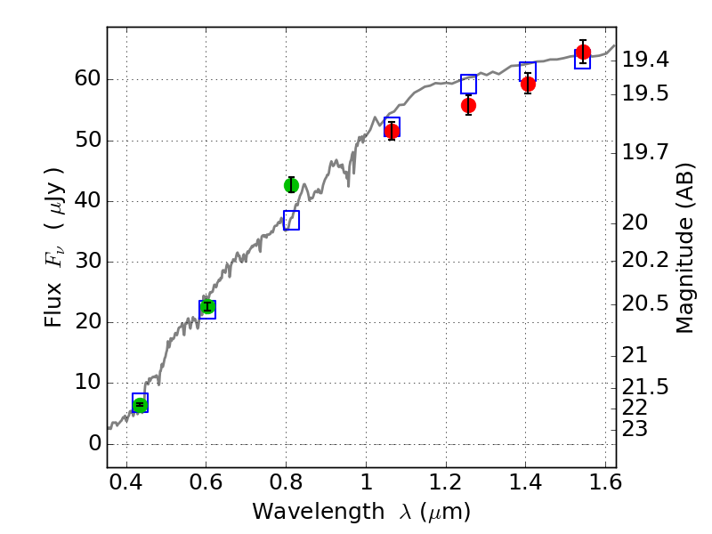
PLCKG209+10 IR detection object #1211

Color images and BPZ results
Catalog: 1211.cat
Black segments are analyzed here.   Roll mouse over color images to view segments.
Best viewed in a wide browser window (1200 pixels or more).   Download SED & P(z) plots to view larger versions.
In P(z) plots: Yellow lines mark the cluster redshift z = 0.677,  

Object #1211   x,y = (3021, 1536)   RA, Dec = (07:22:21.096, 07:23:34.08) = (110.58790, 7.39280)   BPZ = 0.123 [0.081--0.146]   type = 4.00 (Ell4_A_0)   stellarity = 0.98   chisq2 = 0.64   ODDS = 0.98   z_cluster = 0.677