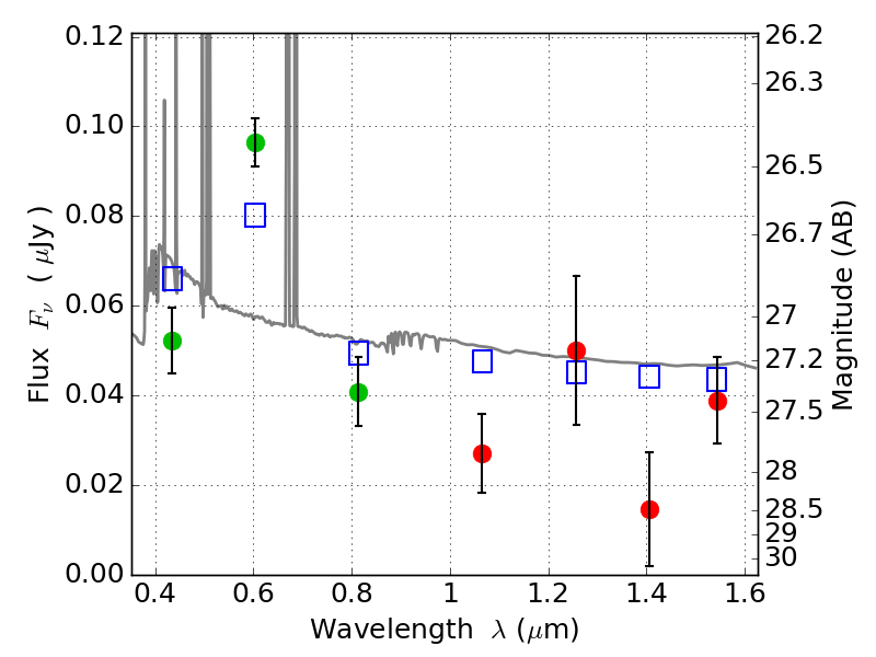
PLCKG209+10 IR detection object #1055

Color images and BPZ results
Catalog: 1055.cat
Black segments are analyzed here.   Roll mouse over color images to view segments.
Best viewed in a wide browser window (1200 pixels or more).   Download SED & P(z) plots to view larger versions.
In P(z) plots: Yellow lines mark the cluster redshift z = 0.677,  

Object #1055   x,y = (3027, 1916)   RA, Dec = (07:22:21.072, 07:23:57.12) = (110.58780, 7.39920)   BPZ = 0.023 [0.010--0.059]   type = 11.00 (SB11_A_0_l)   stellarity = 0.44   chisq2 = 4.16   ODDS = 0.98   z_cluster = 0.677