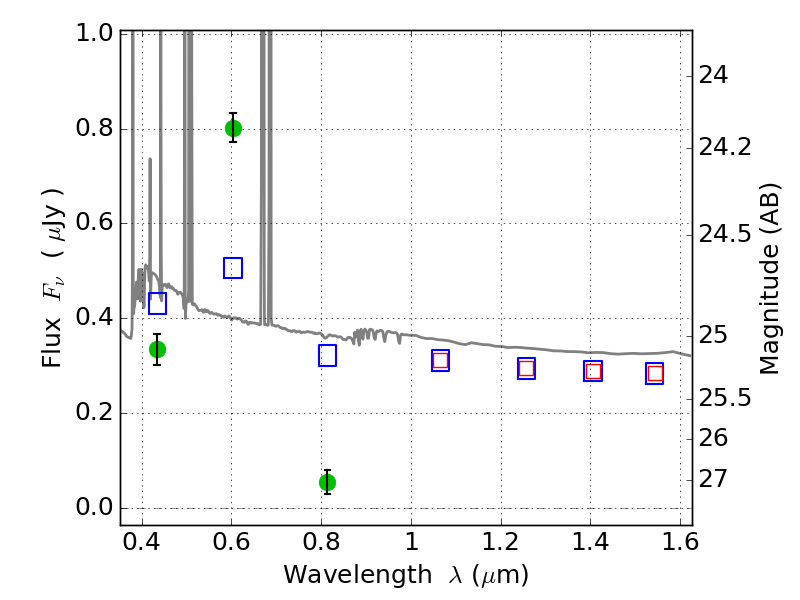
PLCKG209+10 ACS+IR detection object #595

Color images and BPZ results
Catalog: 595.cat
Black segments are analyzed here.   Roll mouse over color images to view segments.
Best viewed in a wide browser window (1200 pixels or more).   Download SED & P(z) plots to view larger versions.
In P(z) plots: Yellow lines mark the cluster redshift z = 0.677,  

Object #595   x,y = (4112, 3847)   RA, Dec = (07:22:16.704, 07:25:52.68) = (110.56960, 7.43130)   BPZ = 0.017 [0.010--0.033]   type = 11.00 (SB11_A_0_l)   chisq2 = 87.66   ODDS = 1.00   z_cluster = 0.677