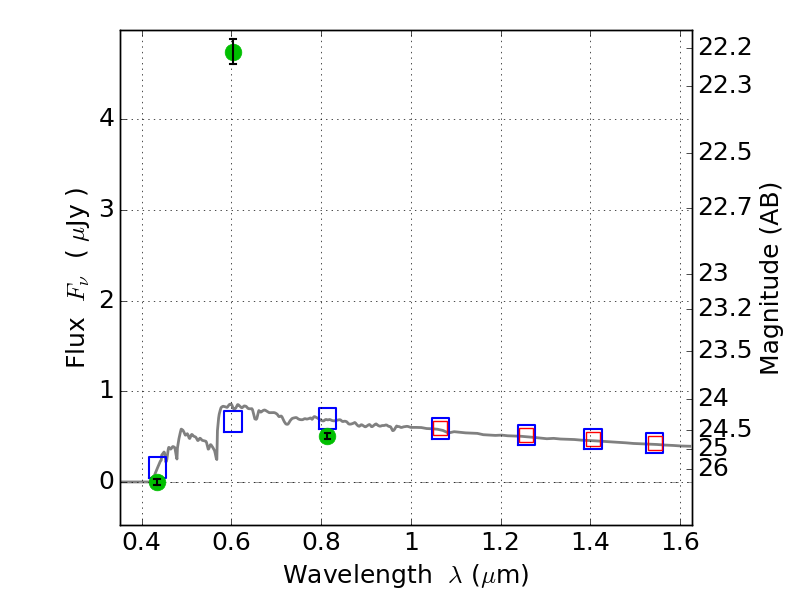
PLCKG209+10 ACS+IR detection object #5512

Color images and BPZ results
Catalog: 5512.cat
Black segments are analyzed here.   Roll mouse over color images to view segments.
Best viewed in a wide browser window (1200 pixels or more).   Download SED & P(z) plots to view larger versions.
In P(z) plots: Yellow lines mark the cluster redshift z = 0.677,  

Object #5512   x,y = (4400, 847)   RA, Dec = (07:22:15.552, 07:22:52.68) = (110.56480, 7.38130)   BPZ = 3.668 [3.609--3.769]   type = 11.00 (SB11_A_0_l)   chisq2 = 781.80   ODDS = 1.00   z_cluster = 0.677