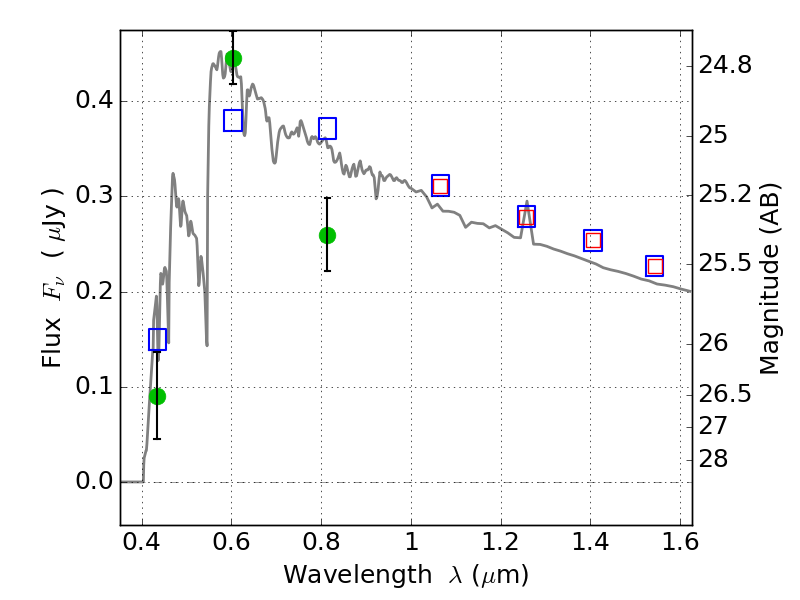
PLCKG209+10 ACS+IR detection object #5370

Color images and BPZ results
Catalog: 5370.cat
Black segments are analyzed here.   Roll mouse over color images to view segments.
Best viewed in a wide browser window (1200 pixels or more).   Download SED & P(z) plots to view larger versions.
In P(z) plots: Yellow lines mark the cluster redshift z = 0.677,  

Object #5370   x,y = (805, 929)   RA, Dec = (07:22:30.048, 07:22:57.72) = (110.62520, 7.38270)   BPZ = 3.493 [3.131--3.688]   type = 11.00 (SB11_A_0_l)   chisq2 = 10.35   ODDS = 0.85   z_cluster = 0.677