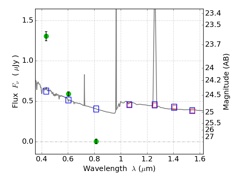
PLCKG209+10 ACS+IR detection object #497

Color images and BPZ results
Catalog: 497.cat
Black segments are analyzed here.   Roll mouse over color images to view segments.
Best viewed in a wide browser window (1200 pixels or more).   Download SED & P(z) plots to view larger versions.
In P(z) plots: Yellow lines mark the cluster redshift z = 0.677,  

Object #497   x,y = (4101, 3894)   RA, Dec = (07:22:16.752, 07:25:55.56) = (110.56980, 7.43210)   BPZ = 1.593 [1.554--1.901]   type = 11.00 (SB11_A_0_l)   chisq2 = 158.80   ODDS = 0.86   z_cluster = 0.677