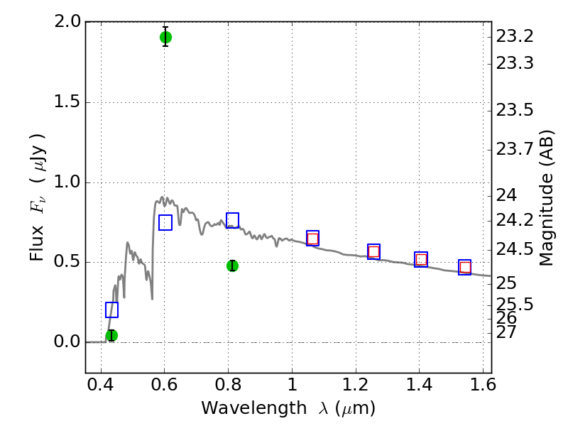
PLCKG209+10 ACS+IR detection object #4944

Color images and BPZ results
Catalog: 4944.cat
Black segments are analyzed here.   Roll mouse over color images to view segments.
Best viewed in a wide browser window (1200 pixels or more).   Download SED & P(z) plots to view larger versions.
In P(z) plots: Yellow lines mark the cluster redshift z = 0.677,  

Object #4944   x,y = (831, 1161)   RA, Dec = (07:22:29.928, 07:23:11.76) = (110.62470, 7.38660)   BPZ = 3.631 [3.574--3.686]   type = 11.00 (SB11_A_0_l)   chisq2 = 245.40   ODDS = 1.00   z_cluster = 0.677