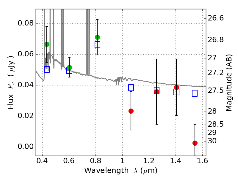
PLCKG209+10 ACS+IR detection object #4538

Color images and BPZ results
Catalog: 4538.cat
Black segments are analyzed here.   Roll mouse over color images to view segments.
Best viewed in a wide browser window (1200 pixels or more).   Download SED & P(z) plots to view larger versions.
In P(z) plots: Yellow lines mark the cluster redshift z = 0.677,  

Object #4538   x,y = (2701, 1381)   RA, Dec = (07:22:22.392, 07:23:24.72) = (110.59330, 7.39020)   BPZ = 0.117 [0.069--2.625]   type = 11.00 (SB11_A_0_l)   chisq2 = 2.40   ODDS = 0.45   z_cluster = 0.677