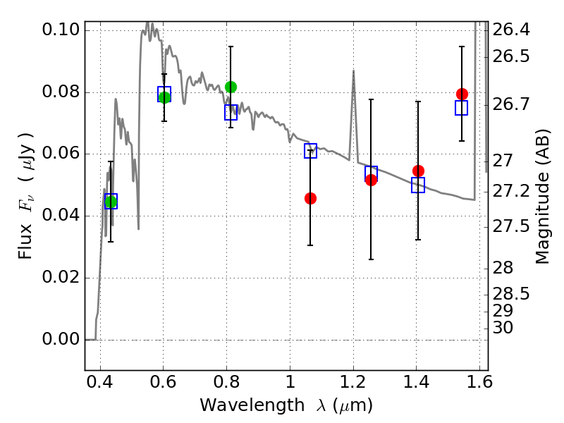
PLCKG209+10 ACS+IR detection object #4267

Color images and BPZ results
Catalog: 4267.cat
Black segments are analyzed here.   Roll mouse over color images to view segments.
Best viewed in a wide browser window (1200 pixels or more).   Download SED & P(z) plots to view larger versions.
In P(z) plots: Yellow lines mark the cluster redshift z = 0.677,  

Object #4267   x,y = (2325, 1537)   RA, Dec = (07:22:23.904, 07:23:34.08) = (110.59960, 7.39280)   BPZ = 3.301 [0.226--3.503]   type = 11.00 (SB11_A_0_l)   chisq2 = 0.34   ODDS = 0.37   z_cluster = 0.677