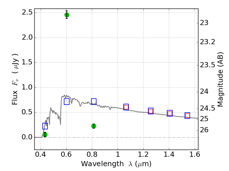
PLCKG209+10 ACS+IR detection object #3962

Color images and BPZ results
Catalog: 3962.cat
Black segments are analyzed here.   Roll mouse over color images to view segments.
Best viewed in a wide browser window (1200 pixels or more).   Download SED & P(z) plots to view larger versions.
In P(z) plots: Yellow lines mark the cluster redshift z = 0.677,  

Object #3962   x,y = (4312, 1751)   RA, Dec = (07:22:15.888, 07:23:47.04) = (110.56620, 7.39640)   BPZ = 3.576 [3.444--3.641]   type = 11.00 (SB11_A_0_l)   chisq2 = 446.70   ODDS = 1.00   z_cluster = 0.677