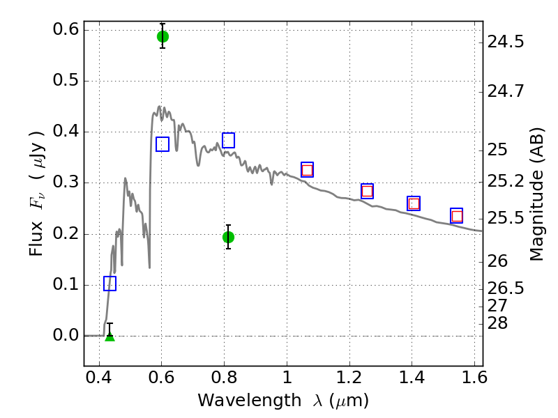
PLCKG209+10 ACS+IR detection object #3716

Color images and BPZ results
Catalog: 3716.cat
Black segments are analyzed here.   Roll mouse over color images to view segments.
Best viewed in a wide browser window (1200 pixels or more).   Download SED & P(z) plots to view larger versions.
In P(z) plots: Yellow lines mark the cluster redshift z = 0.677,  

Object #3716   x,y = (4310, 1926)   RA, Dec = (07:22:15.912, 07:23:57.48) = (110.56630, 7.39930)   BPZ = 3.626 [3.536--3.697]   type = 11.00 (SB11_A_0_l)   chisq2 = 75.69   ODDS = 1.00   z_cluster = 0.677