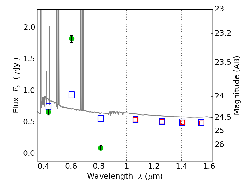
PLCKG209+10 ACS+IR detection object #3623

Color images and BPZ results
Catalog: 3623.cat
Black segments are analyzed here.   Roll mouse over color images to view segments.
Best viewed in a wide browser window (1200 pixels or more).   Download SED & P(z) plots to view larger versions.
In P(z) plots: Yellow lines mark the cluster redshift z = 0.677,  

Object #3623   x,y = (4296, 1969)   RA, Dec = (07:22:15.960, 07:24:00.00) = (110.56650, 7.40000)   BPZ = 0.016 [0.010--0.031]   type = 11.00 (SB11_A_0_l)   chisq2 = 152.70   ODDS = 1.00   z_cluster = 0.677