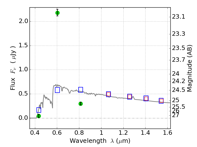
PLCKG209+10 ACS+IR detection object #3121

Color images and BPZ results
Catalog: 3121.cat
Black segments are analyzed here.   Roll mouse over color images to view segments.
Best viewed in a wide browser window (1200 pixels or more).   Download SED & P(z) plots to view larger versions.
In P(z) plots: Yellow lines mark the cluster redshift z = 0.677,  

Object #3121   x,y = (4248, 2267)   RA, Dec = (07:22:16.152, 07:24:18.00) = (110.56730, 7.40500)   BPZ = 3.607 [3.527--3.668]   type = 11.00 (SB11_A_0_l)   chisq2 = 474.60   ODDS = 1.00   z_cluster = 0.677