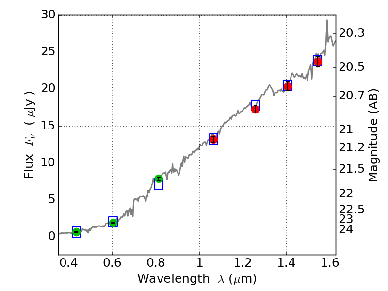
PLCKG209+10 ACS+IR detection object #2799

Color images and BPZ results
Catalog: 2799.cat
Black segments are analyzed here.   Roll mouse over color images to view segments.
Best viewed in a wide browser window (1200 pixels or more).   Download SED & P(z) plots to view larger versions.
In P(z) plots: Yellow lines mark the cluster redshift z = 0.677,  

Object #2799   x,y = (2274, 2471)   RA, Dec = (07:22:24.120, 07:24:30.24) = (110.60050, 7.40840)   BPZ = 0.755 [0.675--0.803]   type = 5.70 (Sbc_B10 - ES0_B10)   chisq2 = 0.08   ODDS = 0.96   z_cluster = 0.677