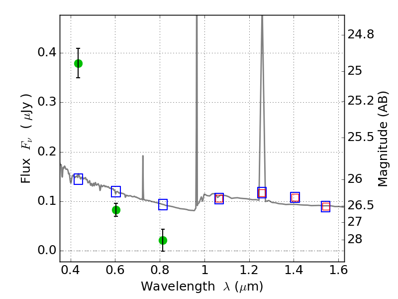
PLCKG209+10 ACS+IR detection object #2427

Color images and BPZ results
Catalog: 2427.cat
Black segments are analyzed here.   Roll mouse over color images to view segments.
Best viewed in a wide browser window (1200 pixels or more).   Download SED & P(z) plots to view larger versions.
In P(z) plots: Yellow lines mark the cluster redshift z = 0.677,  

Object #2427   x,y = (4203, 2694)   RA, Dec = (07:22:16.344, 07:24:43.56) = (110.56810, 7.41210)   BPZ = 1.590 [1.206--2.223]   type = 11.00 (SB11_A_0_l)   chisq2 = 70.28   ODDS = 0.29   z_cluster = 0.677