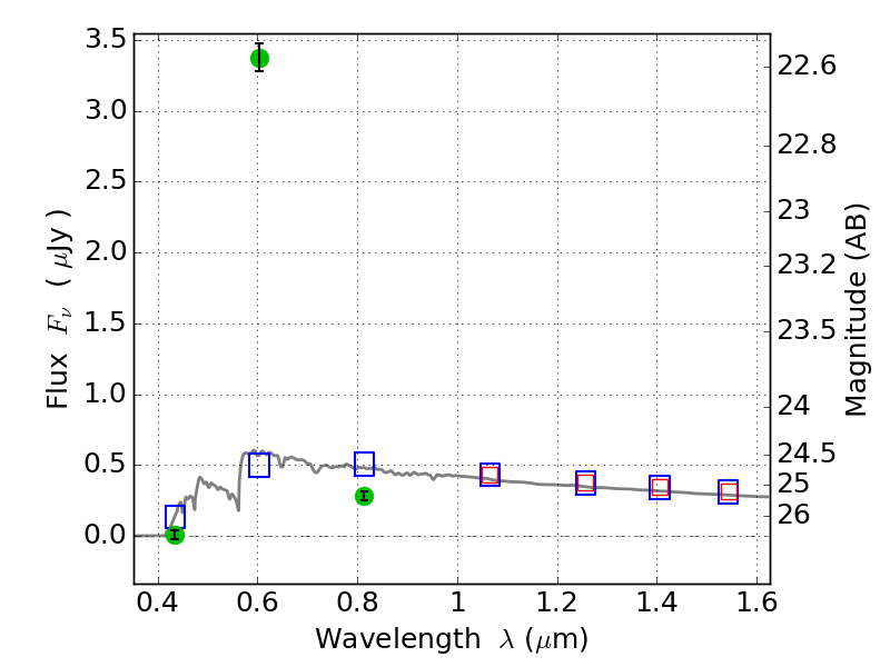
PLCKG209+10 ACS+IR detection object #1579

Color images and BPZ results
Catalog: 1579.cat
Black segments are analyzed here.   Roll mouse over color images to view segments.
Best viewed in a wide browser window (1200 pixels or more).   Download SED & P(z) plots to view larger versions.
In P(z) plots: Yellow lines mark the cluster redshift z = 0.677,  

Object #1579   x,y = (4151, 3263)   RA, Dec = (07:22:16.536, 07:25:17.76) = (110.56890, 7.42160)   BPZ = 3.631 [3.552--3.709]   type = 11.00 (SB11_A_0_l)   chisq2 = 782.70   ODDS = 1.00   z_cluster = 0.677