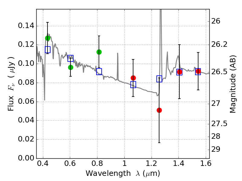
PLCKG209+10 ACS+IR detection object #1280

Color images and BPZ results
Catalog: 1280.cat
Black segments are analyzed here.   Roll mouse over color images to view segments.
Best viewed in a wide browser window (1200 pixels or more).   Download SED & P(z) plots to view larger versions.
In P(z) plots: Yellow lines mark the cluster redshift z = 0.677,  

Object #1280   x,y = (2815, 3427)   RA, Dec = (07:22:21.936, 07:25:27.48) = (110.59140, 7.42430)   BPZ = 2.397 [0.271--2.700]   type = 10.50 (SB11_A_0_l - SB3_B10)   chisq2 = 0.84   ODDS = 0.18   z_cluster = 0.677