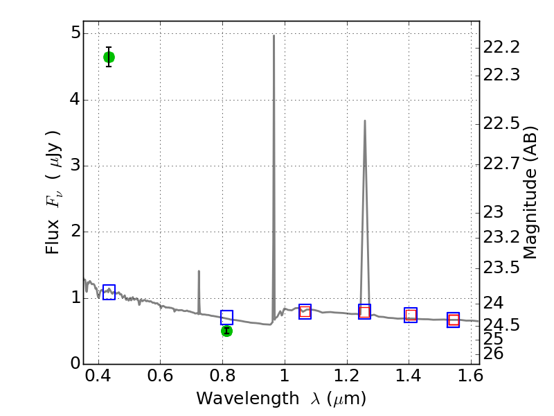
PLCKG209+10 ACS+IR detection object #290

Color images and BPZ results
Catalog: 290.cat
Black segments are analyzed here.   Roll mouse over color images to view segments.
Best viewed in a wide browser window (1200 pixels or more).   Download SED & P(z) plots to view larger versions.
In P(z) plots: Yellow lines mark the cluster redshift z = 0.677,  

Object #290   x,y = (632, 4031)   RA, Dec = (07:22:30.744, 07:26:03.84) = (110.62810, 7.43440)   BPZ = 1.593 [1.531--1.845]   type = 11.00 (SB11_A_0_l)   chisq2 = 483.70   ODDS = 0.90   z_cluster = 0.677