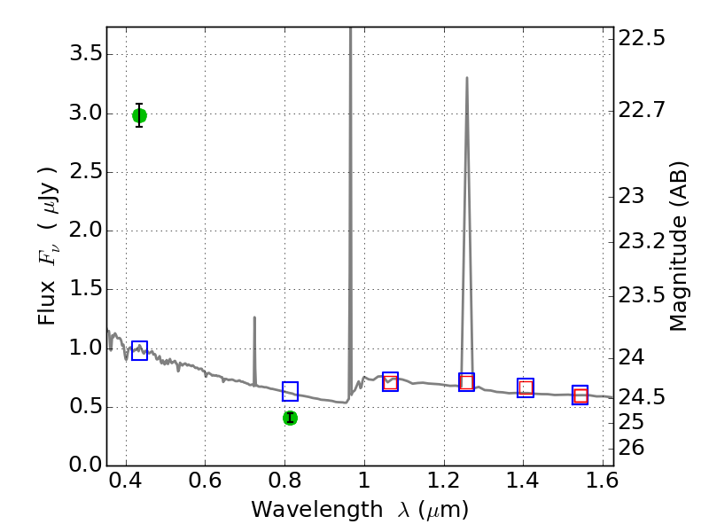
PLCKG209+10 ACS+IR detection object #1128

Color images and BPZ results
Catalog: 1128.cat
Black segments are analyzed here.   Roll mouse over color images to view segments.
Best viewed in a wide browser window (1200 pixels or more).   Download SED & P(z) plots to view larger versions.
In P(z) plots: Yellow lines mark the cluster redshift z = 0.677,  

Object #1128   x,y = (4175, 3445)   RA, Dec = (07:22:16.440, 07:25:28.56) = (110.56850, 7.42460)   BPZ = 1.593 [1.549--1.793]   type = 11.00 (SB11_A_0_l)   chisq2 = 303.80   ODDS = 0.93   z_cluster = 0.677