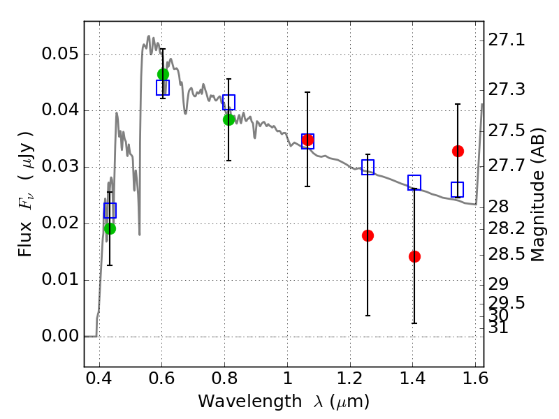
PLCKG209+10 IR detection object #783

Color images and BPZ results
Catalog: 783.cat
Black segments are analyzed here.   Roll mouse over color images to view segments.
Best viewed in a wide browser window (1200 pixels or more).   Download SED & P(z) plots to view larger versions.
In P(z) plots: Yellow lines mark the cluster redshift z = 0.677,  

Object #783   x,y = (3609, 2361)   RA, Dec = (07:22:18.744, 07:24:23.76) = (110.57810, 7.40660)   BPZ = 3.365 [0.298--3.645]   type = 11.00 (SB11_A_0_l)   stellarity = 0.64   chisq2 = 0.74   ODDS = 0.61   z_cluster = 0.677