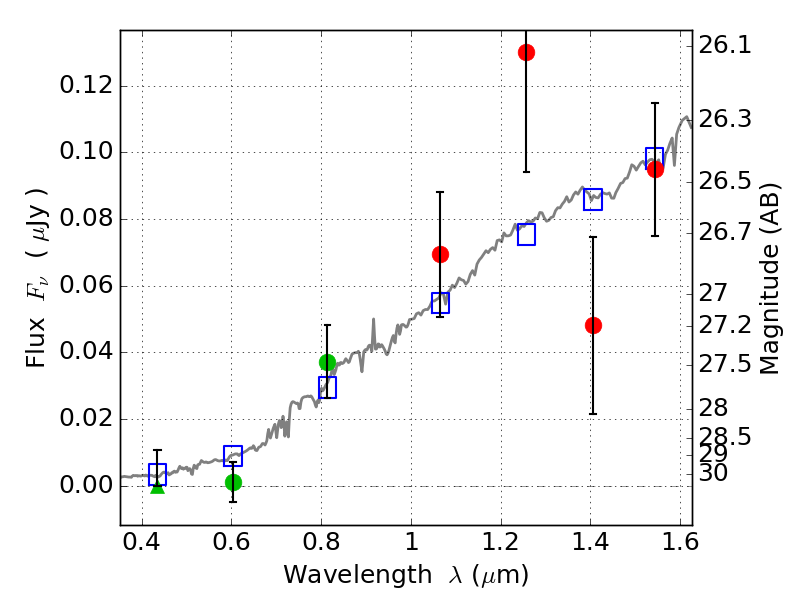
PLCKG209+10 IR detection object #1203

Color images and BPZ results
Catalog: 1203.cat
Black segments are analyzed here.   Roll mouse over color images to view segments.
Best viewed in a wide browser window (1200 pixels or more).   Download SED & P(z) plots to view larger versions.
In P(z) plots: Yellow lines mark the cluster redshift z = 0.677,  

Object #1203   x,y = (3358, 1581)   RA, Dec = (07:22:19.752, 07:23:36.96) = (110.58230, 7.39360)   BPZ = 0.826 [0.577--6.116]   type = 6.00 (Sbc_B10)   stellarity = 0.00   chisq2 = 1.48   ODDS = 0.10   z_cluster = 0.677