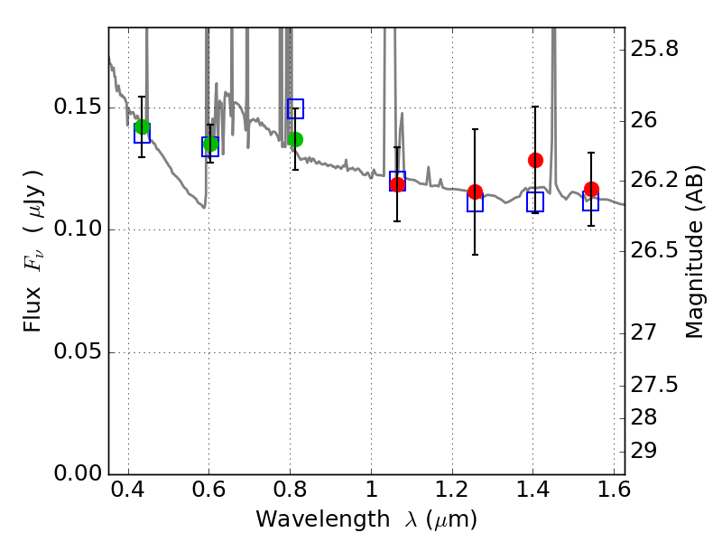
PLCKG209+10 IR detection object #1185

Color images and BPZ results
Catalog: 1185.cat
Black segments are analyzed here.   Roll mouse over color images to view segments.
Best viewed in a wide browser window (1200 pixels or more).   Download SED & P(z) plots to view larger versions.
In P(z) plots: Yellow lines mark the cluster redshift z = 0.677,  

Object #1185   x,y = (3000, 1645)   RA, Dec = (07:22:21.192, 07:23:40.56) = (110.58830, 7.39460)   BPZ = 0.604 [0.533--2.733]   type = 10.90 (SB11_A_0_l - SB3_B10)   stellarity = 0.44   chisq2 = 0.31   ODDS = 0.18   z_cluster = 0.677