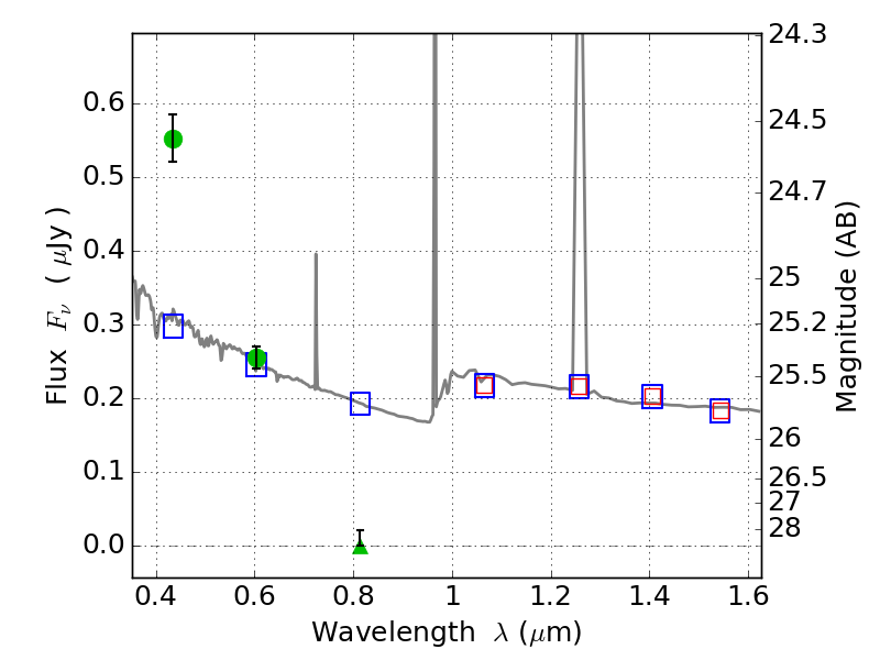
PLCKG209+10 ACS+IR detection object #994

Color images and BPZ results
Catalog: 994.cat
Black segments are analyzed here.   Roll mouse over color images to view segments.
Best viewed in a wide browser window (1200 pixels or more).   Download SED & P(z) plots to view larger versions.
In P(z) plots: Yellow lines mark the cluster redshift z = 0.677,  

Object #994   x,y = (4119, 3577)   RA, Dec = (07:22:16.680, 07:25:36.48) = (110.56950, 7.42680)   BPZ = 1.593 [1.457--2.076]   type = 11.00 (SB11_A_0_l)   stellarity = 0.95   chisq2 = 90.26   ODDS = 0.60   z_cluster = 0.677