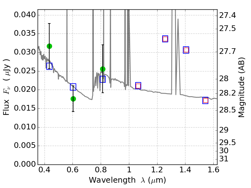
PLCKG209+10 ACS+IR detection object #754

Color images and BPZ results
Catalog: 754.cat
Black segments are analyzed here.   Roll mouse over color images to view segments.
Best viewed in a wide browser window (1200 pixels or more).   Download SED & P(z) plots to view larger versions.
In P(z) plots: Yellow lines mark the cluster redshift z = 0.677,  

Object #754   x,y = (2981, 3739)   RA, Dec = (07:22:21.264, 07:25:46.20) = (110.58860, 7.42950)   BPZ = 1.004 [0.483--2.593]   type = 11.00 (SB11_A_0_l)   stellarity = 0.59   chisq2 = 1.46   ODDS = 0.12   z_cluster = 0.677