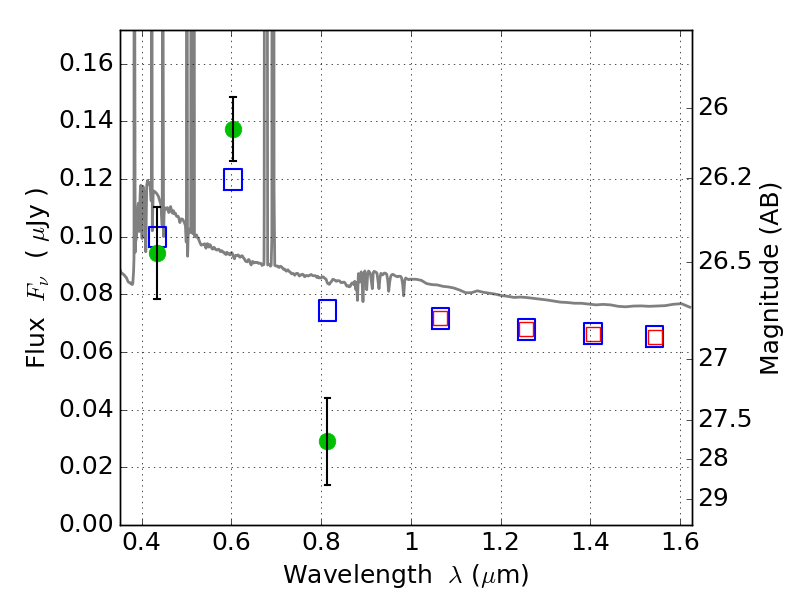
PLCKG209+10 ACS+IR detection object #5158

Color images and BPZ results
Catalog: 5158.cat
Black segments are analyzed here.   Roll mouse over color images to view segments.
Best viewed in a wide browser window (1200 pixels or more).   Download SED & P(z) plots to view larger versions.
In P(z) plots: Yellow lines mark the cluster redshift z = 0.677,  

Object #5158   x,y = (893, 987)   RA, Dec = (07:22:29.688, 07:23:01.32) = (110.62370, 7.38370)   BPZ = 0.027 [0.012--2.945]   type = 11.00 (SB11_A_0_l)   stellarity = 0.94   chisq2 = 8.84   ODDS = 0.45   z_cluster = 0.677