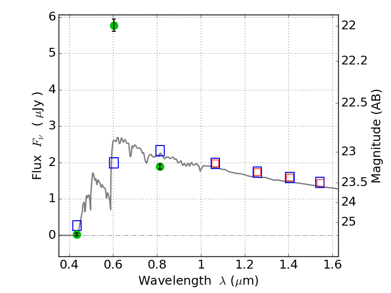
PLCKG209+10 ACS+IR detection object #5000

Color images and BPZ results
Catalog: 5000.cat
Black segments are analyzed here.   Roll mouse over color images to view segments.
Best viewed in a wide browser window (1200 pixels or more).   Download SED & P(z) plots to view larger versions.
In P(z) plots: Yellow lines mark the cluster redshift z = 0.677,  

Object #5000   x,y = (4369, 1061)   RA, Dec = (07:22:15.672, 07:23:05.64) = (110.56530, 7.38490)   BPZ = 3.852 [3.799--3.904]   type = 11.00 (SB11_A_0_l)   stellarity = 0.99   chisq2 = 278.27   ODDS = 1.00   z_cluster = 0.677