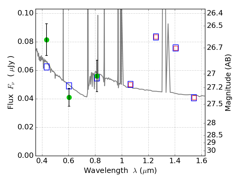
PLCKG209+10 ACS+IR detection object #4925

Color images and BPZ results
Catalog: 4925.cat
Black segments are analyzed here.   Roll mouse over color images to view segments.
Best viewed in a wide browser window (1200 pixels or more).   Download SED & P(z) plots to view larger versions.
In P(z) plots: Yellow lines mark the cluster redshift z = 0.677,  

Object #4925   x,y = (2093, 1101)   RA, Dec = (07:22:24.840, 07:23:08.16) = (110.60350, 7.38560)   BPZ = 1.003 [0.668--2.415]   type = 11.00 (SB11_A_0_l)   stellarity = 0.00   chisq2 = 3.28   ODDS = 0.20   z_cluster = 0.677