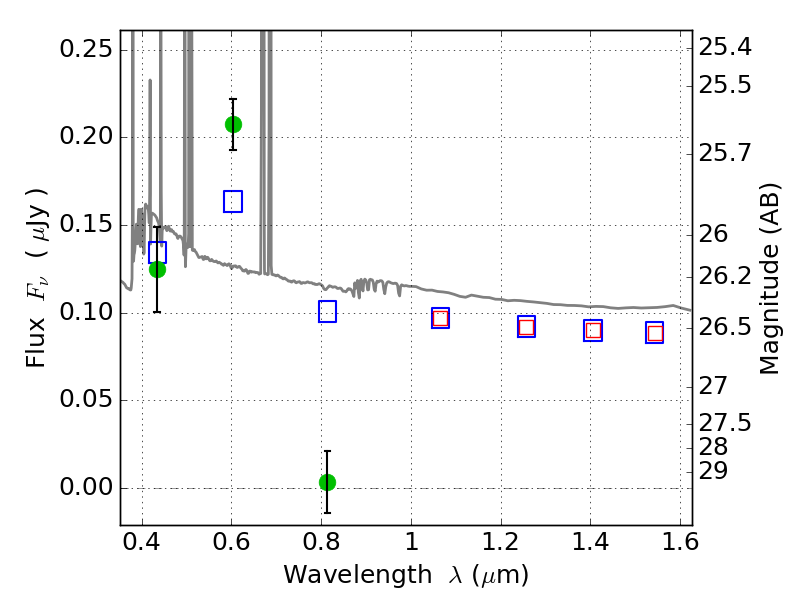
PLCKG209+10 ACS+IR detection object #4363

Color images and BPZ results
Catalog: 4363.cat
Black segments are analyzed here.   Roll mouse over color images to view segments.
Best viewed in a wide browser window (1200 pixels or more).   Download SED & P(z) plots to view larger versions.
In P(z) plots: Yellow lines mark the cluster redshift z = 0.677,  

Object #4363   x,y = (816, 1419)   RA, Dec = (07:22:30.000, 07:23:27.24) = (110.62500, 7.39090)   BPZ = 0.023 [0.010--1.510]   type = 11.00 (SB11_A_0_l)   stellarity = 0.94   chisq2 = 27.85   ODDS = 0.97   z_cluster = 0.677