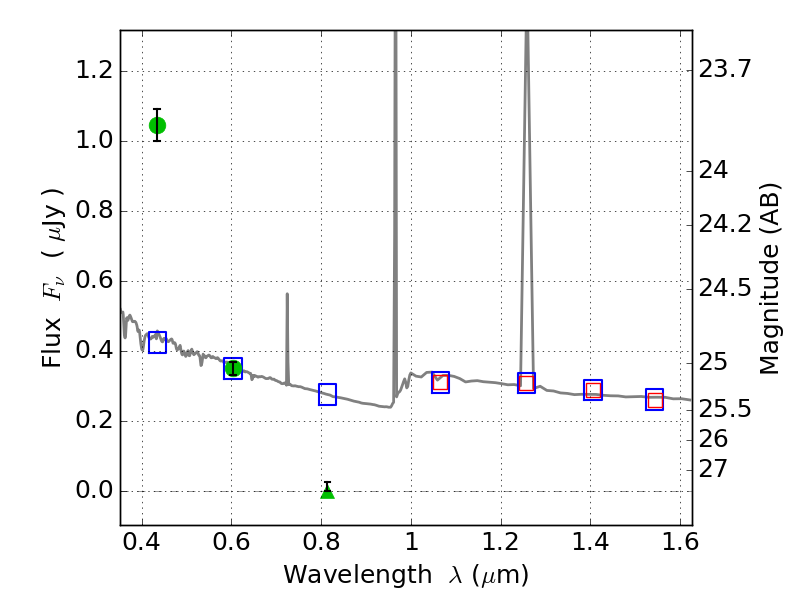
PLCKG209+10 ACS+IR detection object #4320

Color images and BPZ results
Catalog: 4320.cat
Black segments are analyzed here.   Roll mouse over color images to view segments.
Best viewed in a wide browser window (1200 pixels or more).   Download SED & P(z) plots to view larger versions.
In P(z) plots: Yellow lines mark the cluster redshift z = 0.677,  

Object #4320   x,y = (4355, 1448)   RA, Dec = (07:22:15.720, 07:23:28.68) = (110.56550, 7.39130)   BPZ = 1.593 [1.489--1.993]   type = 11.00 (SB11_A_0_l)   stellarity = 0.95   chisq2 = 185.72   ODDS = 0.77   z_cluster = 0.677