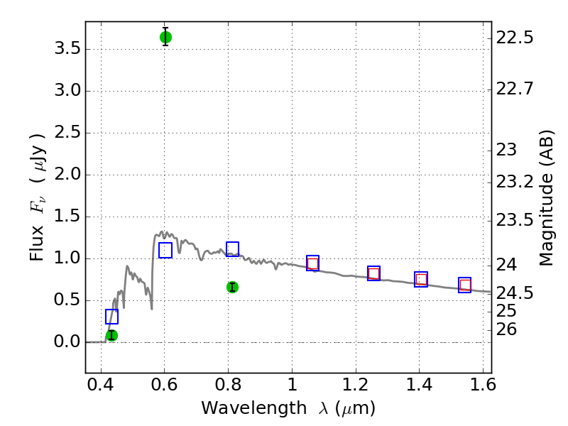
PLCKG209+10 ACS+IR detection object #4117

Color images and BPZ results
Catalog: 4117.cat
Black segments are analyzed here.   Roll mouse over color images to view segments.
Best viewed in a wide browser window (1200 pixels or more).   Download SED & P(z) plots to view larger versions.
In P(z) plots: Yellow lines mark the cluster redshift z = 0.677,  

Object #4117   x,y = (4342, 1536)   RA, Dec = (07:22:15.768, 07:23:34.08) = (110.56570, 7.39280)   BPZ = 3.618 [3.551--3.672]   type = 11.00 (SB11_A_0_l)   stellarity = 1.00   chisq2 = 409.37   ODDS = 1.00   z_cluster = 0.677