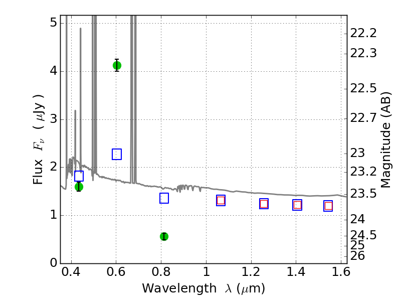
PLCKG209+10 ACS+IR detection object #4059

Color images and BPZ results
Catalog: 4059.cat
Black segments are analyzed here.   Roll mouse over color images to view segments.
Best viewed in a wide browser window (1200 pixels or more).   Download SED & P(z) plots to view larger versions.
In P(z) plots: Yellow lines mark the cluster redshift z = 0.677,  

Object #4059   x,y = (4329, 1540)   RA, Dec = (07:22:15.840, 07:23:34.44) = (110.56600, 7.39290)   BPZ = 0.016 [0.010--0.031]   type = 11.00 (SB11_A_0_l)   stellarity = 0.89   chisq2 = 113.70   ODDS = 1.00   z_cluster = 0.677