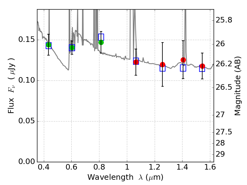
PLCKG209+10 ACS+IR detection object #3986

Color images and BPZ results
Catalog: 3986.cat
Black segments are analyzed here.   Roll mouse over color images to view segments.
Best viewed in a wide browser window (1200 pixels or more).   Download SED & P(z) plots to view larger versions.
In P(z) plots: Yellow lines mark the cluster redshift z = 0.677,  

Object #3986   x,y = (3000, 1645)   RA, Dec = (07:22:21.192, 07:23:40.56) = (110.58830, 7.39460)   BPZ = 0.567 [0.391--2.743]   type = 10.90 (SB11_A_0_l - SB3_B10)   stellarity = 0.94   chisq2 = 0.09   ODDS = 0.28   z_cluster = 0.677