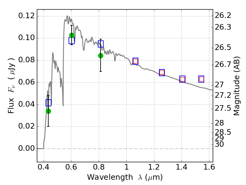
PLCKG209+10 ACS+IR detection object #339

Color images and BPZ results
Catalog: 339.cat
Black segments are analyzed here.   Roll mouse over color images to view segments.
Best viewed in a wide browser window (1200 pixels or more).   Download SED & P(z) plots to view larger versions.
In P(z) plots: Yellow lines mark the cluster redshift z = 0.677,  

Object #339   x,y = (1097, 4137)   RA, Dec = (07:22:28.872, 07:26:10.32) = (110.62030, 7.43620)   BPZ = 3.460 [0.265--3.727]   type = 11.00 (SB11_A_0_l)   stellarity = 0.00   chisq2 = 0.85   ODDS = 0.42   z_cluster = 0.677