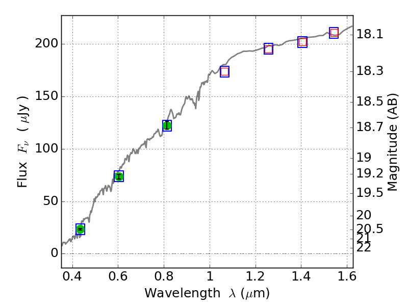
PLCKG209+10 ACS+IR detection object #3303

Color images and BPZ results
Catalog: 3303.cat
Black segments are analyzed here.   Roll mouse over color images to view segments.
Best viewed in a wide browser window (1200 pixels or more).   Download SED & P(z) plots to view larger versions.
In P(z) plots: Yellow lines mark the cluster redshift z = 0.677,  

Object #3303   x,y = (771, 2093)   RA, Dec = (07:22:30.168, 07:24:07.56) = (110.62570, 7.40210)   BPZ = 0.097 [0.063--0.381]   type = 3.50 (Ell4_A_0 - Ell5_A_0)   stellarity = 1.00   chisq2 = 0.00   ODDS = 0.35   z_cluster = 0.677