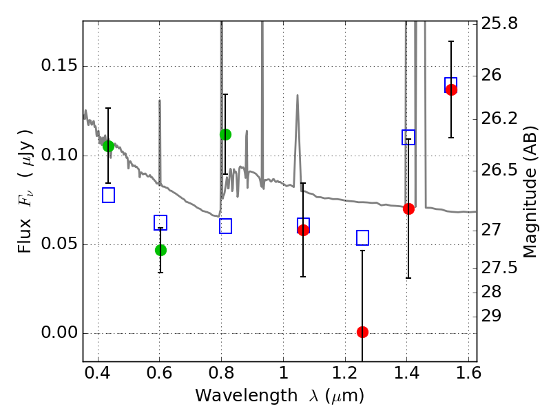
PLCKG209+10 ACS+IR detection object #3251

Color images and BPZ results
Catalog: 3251.cat
Black segments are analyzed here.   Roll mouse over color images to view segments.
Best viewed in a wide browser window (1200 pixels or more).   Download SED & P(z) plots to view larger versions.
In P(z) plots: Yellow lines mark the cluster redshift z = 0.677,  

Object #3251   x,y = (3435, 2149)   RA, Dec = (07:22:19.440, 07:24:10.80) = (110.58100, 7.40300)   BPZ = 1.150 [0.558--2.753]   type = 11.00 (SB11_A_0_l)   stellarity = 0.00   chisq2 = 2.31   ODDS = 0.24   z_cluster = 0.677