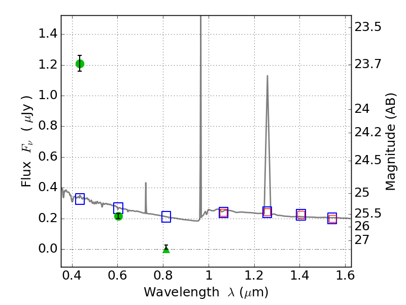
PLCKG209+10 ACS+IR detection object #3189

Color images and BPZ results
Catalog: 3189.cat
Black segments are analyzed here.   Roll mouse over color images to view segments.
Best viewed in a wide browser window (1200 pixels or more).   Download SED & P(z) plots to view larger versions.
In P(z) plots: Yellow lines mark the cluster redshift z = 0.677,  

Object #3189   x,y = (4279, 2183)   RA, Dec = (07:22:16.032, 07:24:12.96) = (110.56680, 7.40360)   BPZ = 1.592 [1.406--2.090]   type = 11.00 (SB11_A_0_l)   stellarity = 0.92   chisq2 = 296.27   ODDS = 0.61   z_cluster = 0.677