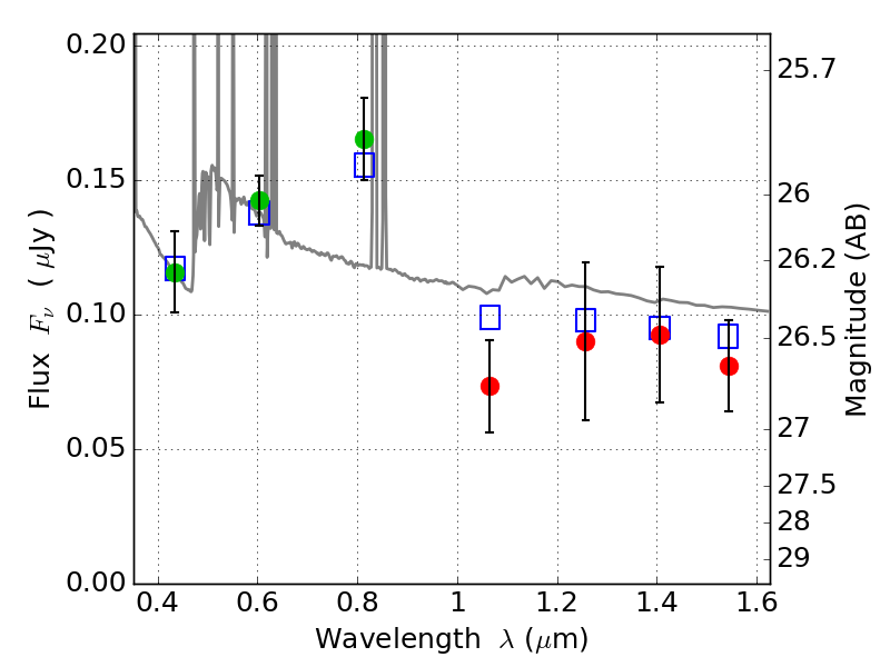
PLCKG209+10 ACS+IR detection object #2854

Color images and BPZ results
Catalog: 2854.cat
Black segments are analyzed here.   Roll mouse over color images to view segments.
Best viewed in a wide browser window (1200 pixels or more).   Download SED & P(z) plots to view larger versions.
In P(z) plots: Yellow lines mark the cluster redshift z = 0.677,  

Object #2854   x,y = (2286, 2374)   RA, Dec = (07:22:24.072, 07:24:24.48) = (110.60030, 7.40680)   BPZ = 0.266 [0.085--0.364]   type = 11.00 (SB11_A_0_l)   stellarity = 0.49   chisq2 = 0.61   ODDS = 0.48   z_cluster = 0.677