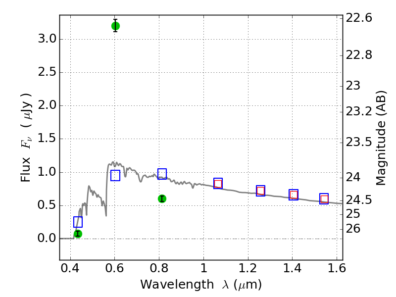
PLCKG209+10 ACS+IR detection object #2835

Color images and BPZ results
Catalog: 2835.cat
Black segments are analyzed here.   Roll mouse over color images to view segments.
Best viewed in a wide browser window (1200 pixels or more).   Download SED & P(z) plots to view larger versions.
In P(z) plots: Yellow lines mark the cluster redshift z = 0.677,  

Object #2835   x,y = (752, 2408)   RA, Dec = (07:22:30.264, 07:24:26.64) = (110.62610, 7.40740)   BPZ = 3.634 [3.578--3.689]   type = 11.00 (SB11_A_0_l)   stellarity = 1.00   chisq2 = 407.17   ODDS = 1.00   z_cluster = 0.677