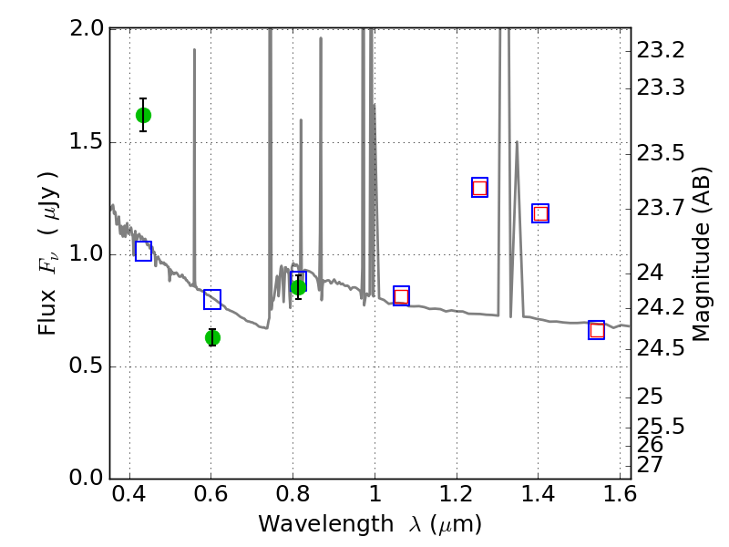
PLCKG209+10 ACS+IR detection object #2417

Color images and BPZ results
Catalog: 2417.cat
Black segments are analyzed here.   Roll mouse over color images to view segments.
Best viewed in a wide browser window (1200 pixels or more).   Download SED & P(z) plots to view larger versions.
In P(z) plots: Yellow lines mark the cluster redshift z = 0.677,  

Object #2417   x,y = (744, 2645)   RA, Dec = (07:22:30.288, 07:24:40.68) = (110.62620, 7.41130)   BPZ = 1.004 [0.918--1.143]   type = 11.00 (SB11_A_0_l)   stellarity = 0.73   chisq2 = 32.28   ODDS = 0.84   z_cluster = 0.677