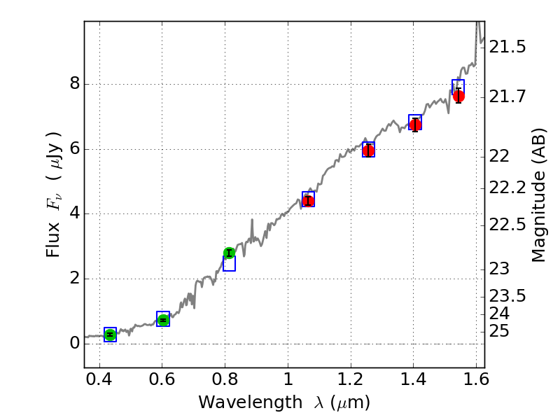
PLCKG209+10 ACS+IR detection object #2389

Color images and BPZ results
Catalog: 2389.cat
Black segments are analyzed here.   Roll mouse over color images to view segments.
Best viewed in a wide browser window (1200 pixels or more).   Download SED & P(z) plots to view larger versions.
In P(z) plots: Yellow lines mark the cluster redshift z = 0.677,  

Object #2389   x,y = (3073, 2659)   RA, Dec = (07:22:20.904, 07:24:41.40) = (110.58710, 7.41150)   BPZ = 0.773 [0.585--0.846]   type = 6.00 (Sbc_B10)   stellarity = 0.03   chisq2 = 0.16   ODDS = 0.72   z_cluster = 0.677