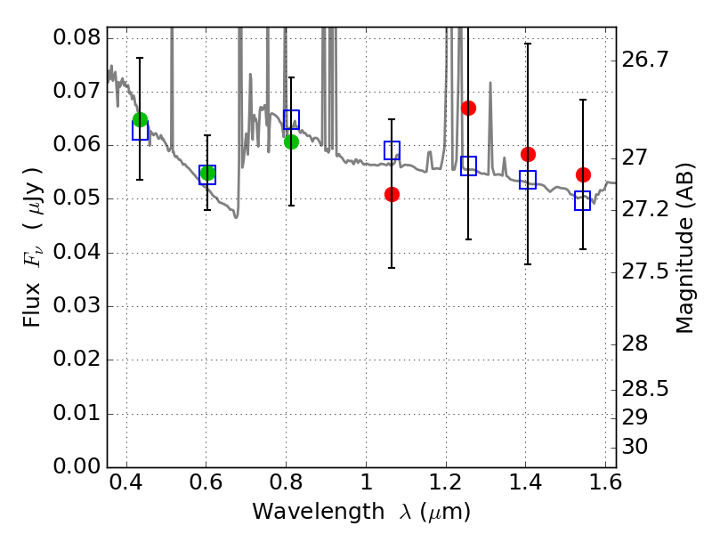
PLCKG209+10 ACS+IR detection object #2330

Color images and BPZ results
Catalog: 2330.cat
Black segments are analyzed here.   Roll mouse over color images to view segments.
Best viewed in a wide browser window (1200 pixels or more).   Download SED & P(z) plots to view larger versions.
In P(z) plots: Yellow lines mark the cluster redshift z = 0.677,  

Object #2330   x,y = (3364, 3024)   RA, Dec = (07:22:19.728, 07:25:03.36) = (110.58220, 7.41760)   BPZ = 0.841 [0.364--2.785]   type = 10.70 (SB11_A_0_l - SB3_B10)   stellarity = 0.00   chisq2 = 0.20   ODDS = 0.09   z_cluster = 0.677