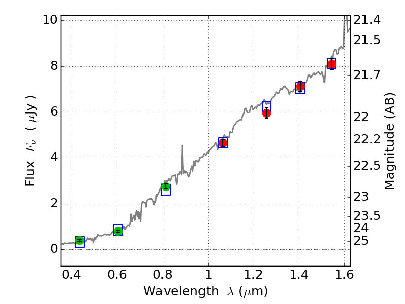
PLCKG209+10 ACS+IR detection object #2230

Color images and BPZ results
Catalog: 2230.cat
Black segments are analyzed here.   Roll mouse over color images to view segments.
Best viewed in a wide browser window (1200 pixels or more).   Download SED & P(z) plots to view larger versions.
In P(z) plots: Yellow lines mark the cluster redshift z = 0.677,  

Object #2230   x,y = (1487, 2620)   RA, Dec = (07:22:27.288, 07:24:39.24) = (110.61370, 7.41090)   BPZ = 0.775 [0.617--0.913]   type = 6.10 (Sbc_B10 - Scd_B10)   stellarity = 0.02   chisq2 = 0.08   ODDS = 0.69   z_cluster = 0.677