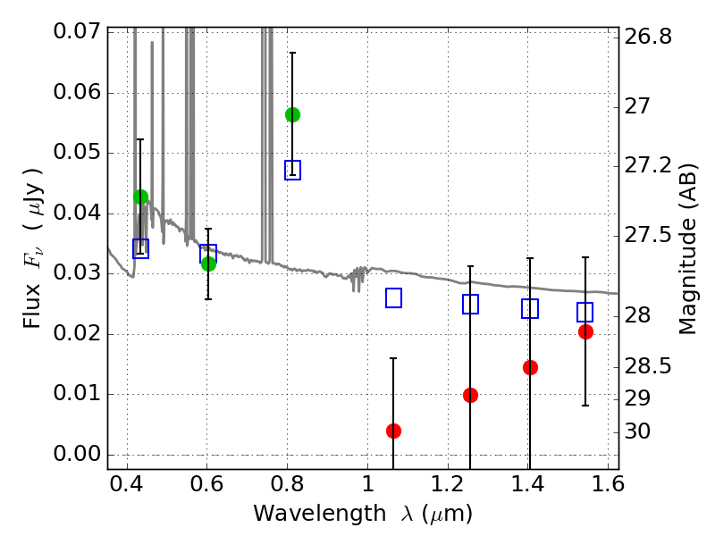
PLCKG209+10 ACS+IR detection object #1861

Color images and BPZ results
Catalog: 1861.cat
Black segments are analyzed here.   Roll mouse over color images to view segments.
Best viewed in a wide browser window (1200 pixels or more).   Download SED & P(z) plots to view larger versions.
In P(z) plots: Yellow lines mark the cluster redshift z = 0.677,  

Object #1861   x,y = (2970, 3022)   RA, Dec = (07:22:21.312, 07:25:03.36) = (110.58880, 7.41760)   BPZ = 0.132 [0.086--2.974]   type = 11.00 (SB11_A_0_l)   stellarity = 0.08   chisq2 = 1.39   ODDS = 0.29   z_cluster = 0.677