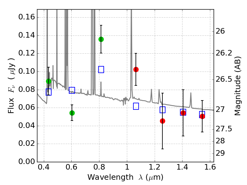
PLCKG209+10 ACS+IR detection object #1581

Color images and BPZ results
Catalog: 1581.cat
Black segments are analyzed here.   Roll mouse over color images to view segments.
Best viewed in a wide browser window (1200 pixels or more).   Download SED & P(z) plots to view larger versions.
In P(z) plots: Yellow lines mark the cluster redshift z = 0.677,  

Object #1581   x,y = (2675, 3195)   RA, Dec = (07:22:22.512, 07:25:13.80) = (110.59380, 7.42050)   BPZ = 0.136 [0.098--1.018]   type = 10.80 (SB11_A_0_l - SB3_B10)   stellarity = 0.00   chisq2 = 3.59   ODDS = 0.24   z_cluster = 0.677