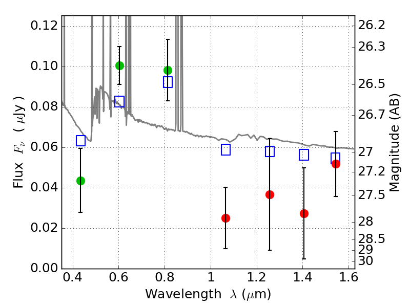
PLCKG209+10 ACS+IR detection object #1449

Color images and BPZ results
Catalog: 1449.cat
Black segments are analyzed here.   Roll mouse over color images to view segments.
Best viewed in a wide browser window (1200 pixels or more).   Download SED & P(z) plots to view larger versions.
In P(z) plots: Yellow lines mark the cluster redshift z = 0.677,  

Object #1449   x,y = (2433, 3309)   RA, Dec = (07:22:23.472, 07:25:20.64) = (110.59780, 7.42240)   BPZ = 0.302 [0.066--3.505]   type = 11.00 (SB11_A_0_l)   stellarity = 0.05   chisq2 = 2.60   ODDS = 0.23   z_cluster = 0.677