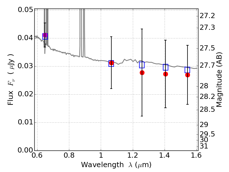
PLCKG209+10-PAR IR detection object #404

Color images and BPZ results
Catalog: 404.cat
Black segments are analyzed here.   Roll mouse over color images to view segments.
Best viewed in a wide browser window (1200 pixels or more).   Download SED & P(z) plots to view larger versions.
In P(z) plots: Yellow lines mark the cluster redshift z = 0.677,  

Object #404   x,y = (1277, 2867)   RA, Dec = (07:22:11.688, 07:29:22.20) = (110.54870, 7.48950)   BPZ = 0.331 [0.102--3.297]   type = 11.00 (SB11_A_0_l)   stellarity = 0.02   chisq2 = 0.05   ODDS = 0.07   z_cluster = 0.677